إجابات امتحان الرياضيات الورقة الثانية توجيهي 2025 في فلسطين – العلمي

إجابات امتحان الرياضيات الورقة الثانية توجيهي 2025 في فلسطين الفرع العلمي – حيث بدأت جلسة الاختبار لطلبة الثانوية العامة ، اليوم الخميس 3 يوليو 2023، في تمام الساعة التاسعة صباحا بتوقيت فلسطين في الضفة الغربية و القدس وكذلك الشتات، باستثناء قطاع غزة الذي يتعرض لحرب إبادة منذ قرابة عامين.
ويبحث طلاب وطالبات الثانوية العامة الفرع العلمي بفلسطين، في الوقت الحالي عن إجابات امتحان الرياضيات 2 توجيهي 2025، حيث تحرص وزارة التربية والتعليم على توفير البيئة الملائمة والجيدة لطلبة التوجيهي في فلسطين رغم معيقات الاحتلال.














وتعمل على توفير كل ما يبحث عنه القارىء، لذلك سوف نستعرض في السطور التالية، إجابات امتحان الرياضيات 2 توجيهي 2025 في فلسطين الفرع العلمي لكافة متابعيها في الضفة الغربية والقدس ومدارس الشتات الذي يرغبون في معرفة الإجابات الصحيحة لامتحان الرياضيات 2 بالفرع العلمي، ليتمكن الطلبة من مراجعة اجاباتهم بعد العودة من الاختبار.
كما يتقدم طلاب الثانوية العامة الفرع الأدبي في فلسطين إلى اختبار الثقافة العلمية العام.
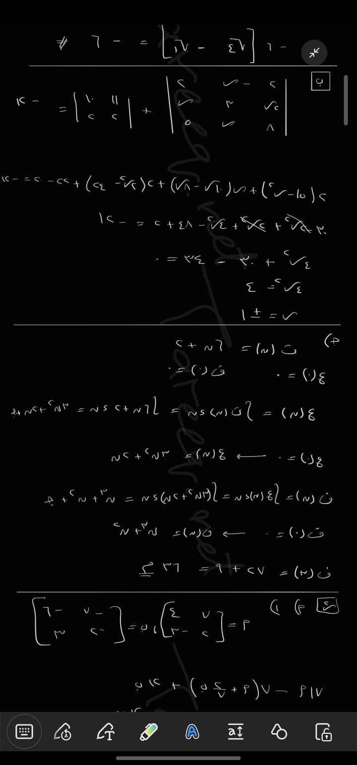
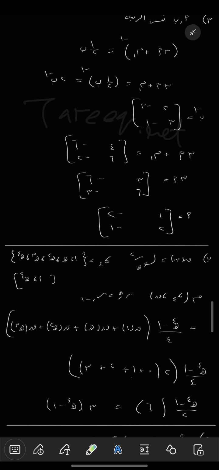
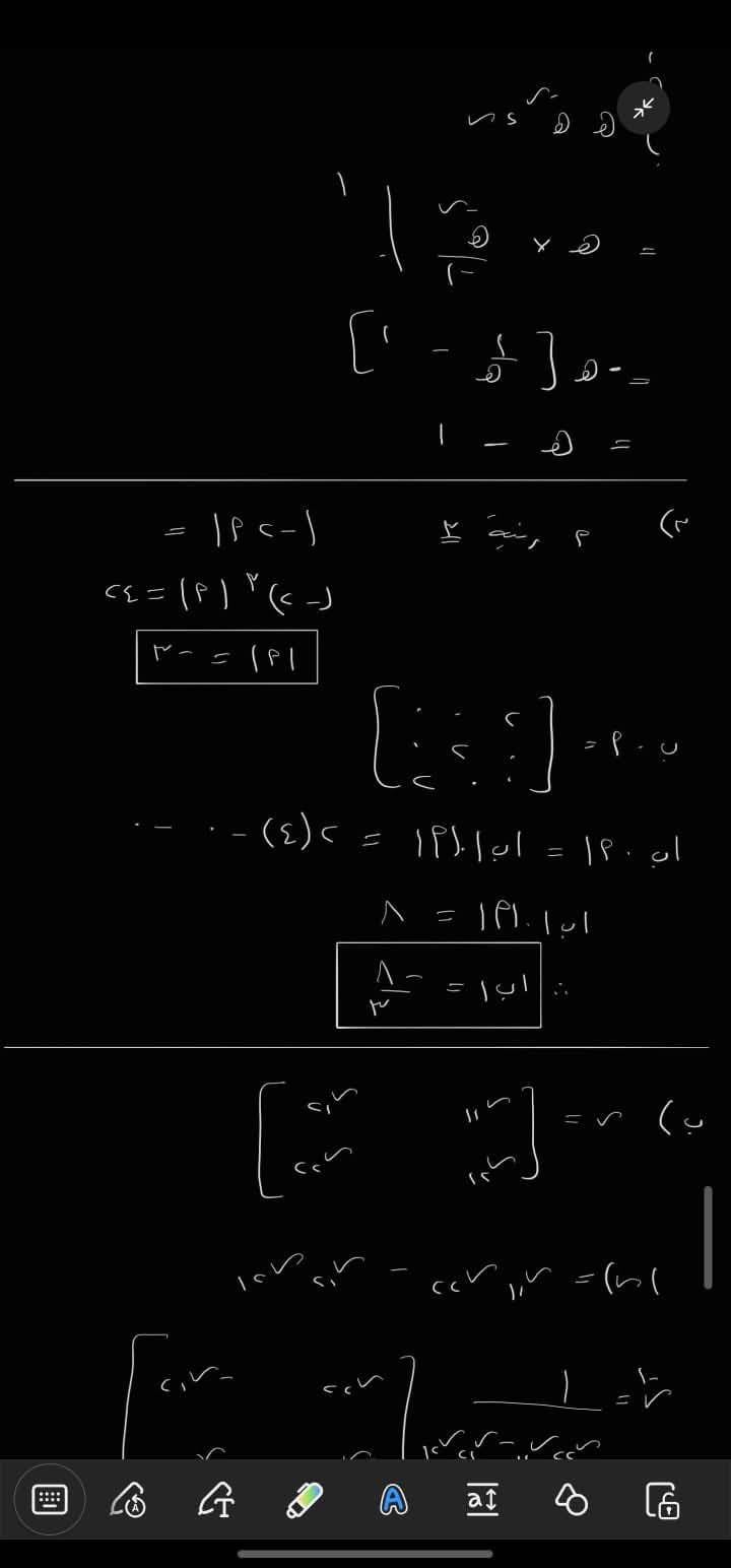
أسئلة امتحان الرياضيات 2 توجيهي 2025 في فلسطين: الفرع العلمي




وبهذا نكون قد عرضنا لكم عبر ، إجابات امتحان الرياضيات 2 توجيهي 2025 في فلسطين العلمي، حيث يعتبر من أكثر المواد التي تحظى باهتمام وتركيز شديدين لدى طلبة الثانوية العامة.

